Experimento de tubo Vénturi F14 SF Scientific
Equipos y aparatos para experiencias de tubo Vénturi F14 en Colombia
Introducción:
Generalmente está diseñado como un medidor Venturi para medir el caudal o la velocidad del flujo, incluye líquido o gas dentro del sistema de tuberías de sección transversal variable.
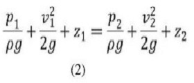
Basados en la conservación del flujo y la energía mecánica (ecuación de Bernoulli), es decir,
V (velocidad del flujo) x A (área de la sección transversal) = constante y
P (presión estática hidráulica) / ρg + V2 / 2g = constante,
el fluido a través del cuello de la tubería tendrá la velocidad local máxima y la presión hidráulica mínima que inducirá la elevación del agua. Mientras se refiere a la elevación del líquido, la velocidad del fluido que fluye a lo largo de la línea central del sistema de tuberías podría ser hallado con éxito.
Contáctenos
Objetivos:
- Medir el caudal cronometrando la recolección de agua.
- Medir el caudal por el medidor de flujo del flotador del sumidero.
- Medir el caudal por tubo dinámico.
- Medir el caudal por tubo Venturi.
Experimento del Tubo Venturi:
La magnitud de la presión estática, la presión dinámica y la velocidad de flujo estimada, pueden ser accedidas fácilmente del perfil del líquido que se eleva en cada tubo, el cual se monta a diferentes escalas de diámetro a lo largo de la tubería y se utiliza para confirmar la validez de la ecuación de Bernoulli.
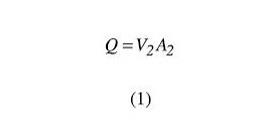
Acoplando la continuidad del flujo volumétrico y la ecuación de Bernoulli en las ecuaciones (1) y (2), la velocidad de flujo circulando a través de una tubería Venturi de diámetros variables se llega a la ecuación (3). Eso también significa que la velocidad de flujo local podría expresarse en términos de elevación de líquido indicando la presión estática inducida.

Aquí V1 es la velocidad local que fluye a través del diámetro correspondiente D1 del área cruzada A1 con elevación de líquido delta de h y Q significa tasa de flujo volumétrico.


Contáctenos
Documentación Disponible:
Componentes y Experimento de Tubo Venturi F14:
Descargar la hoja de datos.
Guía de uso Experimento de Tubo Venturi F14: Descargar Guía de uso.
Catálogo general de aparatos de Física SF:
Descargar catálogo en inglés.
Folleto general de aparatos de Física SF en español:
Descargar Folleto en español
Contáctenos